![]() |
Banque de problèmes du RMTsd74-fr |
|
Envoyer une remarque ou une suggestion
Trouver l'âge de la mère et de son fils sachant qu'ils s’expriment avec les deux mêmes chiffres et que l'âge est le produit des deux chiffres de l’âge de la mère lorsque les fils est né.

Analyse a priori de la tâche:
- Comprendre que les âges actuels de la maman et du fils correspondent aux nombres formés de deux chiffres différents de zéro tous les deux (en raison de la 2e condition).
- Découvrir que les deux chiffres de l’âge du fils et de la maman ne peuvent pas être les mêmes, sinon la maman aurait le même âge que son fils. De plus, le premier chiffre de l'âge du fils doit être plus petit que le second chiffre, sinon la maman serait plus jeune que son fils.
- Se rendre compte que la différence entre les deux âges d’aujourd’hui est l’âge de la mère à la naissance du fils !
- Procéder à quelques essais non organisés pour bien assimiler les données précédentes et distinguer les situations « aujourd’hui » et « à la naissance du fils ». Par exemple:

- Constater qu’il faudra beaucoup d’essais et qu’il est nécessaire de les organiser. Par exemple:

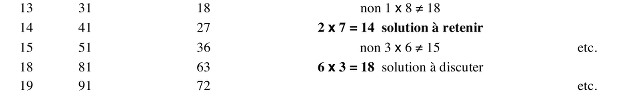
Dans ce cas, il faut essayer tous les âges du fils dont le chiffre des unités vaut au moins 2 de plus que le chiffre des dizaines. Il y a 28 essais à faire.
- Pour réduire les recherches, se rendre compte que les différences d’âge sont les multiples de 9 : 18, 27, 36, 45, 54, 63, 72 et 81 et qu’ils ne donnent lieu qu’à 4 produits possibles 8 = 1 x 8 = 8 x 1, 14=2x7,...18 =3x6 =...et20=4x5.
Si on élimine le “8” qui n’a qu’un seul chiffre et le 20 qui comprend un “0”, il ne reste plus qu’à essayer les deux âges de 14 ans et 18 ans pour le fils.
- De l’une ou l’autre des méthodes choisies, déduire que les deux solutions à envisager sont respectivement 41 ans pour la mère et 14 ans pour le fils ou 81 ans pour la mère et 18 ans pour le fils.
- Retenir la première comme acceptable et la deuxième comme discutable (voir le Guiness Book) : une femme ne peut plus avoir d’enfant à 63 ans.
chiffre et nombre, calcul mental, stratégie de recherche, récursivité.
Points attribués sur 39 classes de Suisse romande:
| Catégorie | 0 | 1 | 2 | 3 | 4 | Nb. de classes | Moyenne |
|---|---|---|---|---|---|---|---|
| Cat 8 | 4 (10%) | 2 (5%) | 19 (49%) | 8 (21%) | 6 (15%) | 39 | 2.26 |
| Rappel: Le problème est résolu dans les conditions particulières du RMT: classe entière, élèves en autonomie complète, 5 à 7 problèmes à résoudre, une seule feuille de réponses par problème. | |||||||