![]()  | 
          
          Banque de problèmes du RMTud114-fr  | 
         
           
            | 
          
Envoyer une remarque ou une suggestion
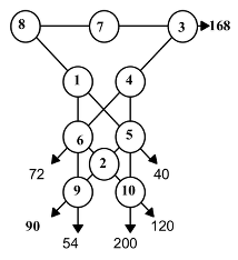
Placer les nombres de 1 à 9 dans un diagramme où l'on connaît le produit des nombres alignés 3 par 3.

- Vérifier qu’il y a bien dix cercles, et que chaque produit indiqué ou manquant correspond à un alignement de trois cercles, constater que chaque produit donné peut être celui de trois nombres de 1 à 10, mais qu’il y a en général plusieurs solutions.
- Commencer à placer trois nombres d’un alignement et vérifier si le choix et les emplacements des trois nombres sont compatibles avec les autres alignements, puis continuer ainsi par essais successifs jusqu’à la disposition complète (ce qui ne permet pas de déterminer le nombre de solutions).
- Travailler par décomposition des nombres en facteurs et par déductions successives sur les emplacements de certains d’entre eux. Par exemple, comme aucun des nombres donnés ne contient 7 dans sa décomposition, celui-ci est obligatoirement dans le cercle du centre de la ligne supérieure, le 9 doit être dans la ligne « 54 » qui contient trois facteurs « 3 » (3 et 6 ne suffiraient pas) et, ne pouvant être dans la ligne « 120 » ni dans la ligne « 40 », il est obligatoirement dans le cercle du bas à gauche, ...

divisibilité, combinatoire
Les résultats n'ont pas été conservés ou ne sont pas encore disponibles.